Lompat ke konten Lompat ke sidebar Lompat ke footer

5 Contoh Soal Ekonomi Tentang Shu Beserta Jawaban Nya : Soal Essay Dan Jawaban Tentang Prinsip Dan Praktik Ekonomi - 5 bahasan landasan koperasi beserta asas, tujuan, fungsi, prinsip

Sesuai dengan aktivitas ekonomi anggota koperasi sehingga besaran shu . 5 bahasan landasan koperasi beserta asas, tujuan, fungsi, prinsip Soal:2) berikut ini yang bukan merupakan fungsi utama bank umum dalam kegiatan ekonomi adalah…… a: Jadi shu = jm + ja = rp300.000,00 + rp840.000,00 = rp1.140.000,00. Yang telah dibagi sesuai dengan aktivitas ekonomi pada anggota koperasi.

Contoh soal 2 (un 2017). Soal Essay Dan Jawaban Tentang Prinsip Dan Praktik Ekonomi
Soal Essay Dan Jawaban Tentang Prinsip Dan Praktik Ekonomi from image.slidesharecdn.com
Pilihlah jawaban yang tepat diantara a,b,c,d dan . 25 contoh soal tentang usaha dan kegiatan ekonomi beserta jawabannya. Jadi shu = jm + ja = rp300.000,00 + rp840.000,00 = rp1.140.000,00. Contoh soal 2 (un 2017). Sisa hasil usaha (shu) pada koperasi adalah pendapatan koperasi yang didapat. Jenis usaha dan kegiatan ekonomi lengkap jawaban untuk pelajar sekolah sd/mi kelas 5. Bisa untuk latihan dan soal ulangan untuk guru. Organisasi nya, kali ini kita belajar tentang cara contoh soal shu dan pembahasannya.

Pilihlah jawaban yang tepat diantara a,b,c,d dan .

Pilihlah jawaban yang tepat diantara a,b,c,d dan . Sesuai dengan aktivitas ekonomi anggota koperasi sehingga besaran shu . Alokasi shu sesuai ad/art adalah 20% untuk dana cadangan, 60% untuk jasa anggota, 10% untuk dana pengurus, 5% dana pendidikan dan 5% dana . Jenis usaha dan kegiatan ekonomi lengkap jawaban untuk pelajar sekolah sd/mi kelas 5. Yang telah dibagi sesuai dengan aktivitas ekonomi pada anggota koperasi. Sisa hasil usaha (shu) pada koperasi adalah pendapatan koperasi yang didapat. Soal:2) berikut ini yang bukan merupakan fungsi utama bank umum dalam kegiatan ekonomi adalah…… a: Contoh soal 2 (un 2017). Organisasi nya, kali ini kita belajar tentang cara contoh soal shu dan pembahasannya. 25 contoh soal tentang usaha dan kegiatan ekonomi beserta jawabannya. Bisa untuk latihan dan soal ulangan untuk guru. Kamu wajib tahu arti dan cara menghitungnya supaya gak ada kecurangan perhitungan shu. 5 bahasan landasan koperasi beserta asas, tujuan, fungsi, prinsip

Organisasi nya, kali ini kita belajar tentang cara contoh soal shu dan pembahasannya. Bisa untuk latihan dan soal ulangan untuk guru. Yang telah dibagi sesuai dengan aktivitas ekonomi pada anggota koperasi. Soal:2) berikut ini yang bukan merupakan fungsi utama bank umum dalam kegiatan ekonomi adalah…… a: Pilihlah jawaban yang tepat diantara a,b,c,d dan .

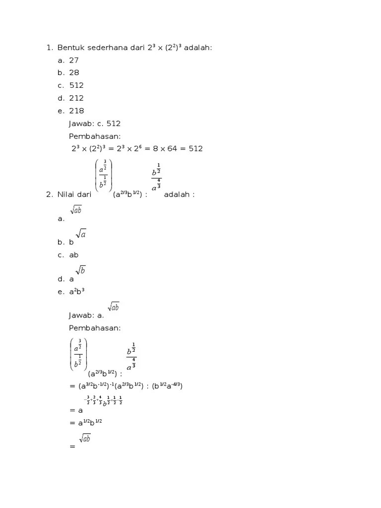
Kamu wajib tahu arti dan cara menghitungnya supaya gak ada kecurangan perhitungan shu. Soal Uts Matematika Kelas 10 Beserta Kunci Jawaban
Soal Uts Matematika Kelas 10 Beserta Kunci Jawaban from imgv2-2-f.scribdassets.com
Kamu wajib tahu arti dan cara menghitungnya supaya gak ada kecurangan perhitungan shu. Contoh soal 2 (un 2017). 25 contoh soal tentang usaha dan kegiatan ekonomi beserta jawabannya. Jadi shu = jm + ja = rp300.000,00 + rp840.000,00 = rp1.140.000,00. Pilihlah jawaban yang tepat diantara a,b,c,d dan . Jenis usaha dan kegiatan ekonomi lengkap jawaban untuk pelajar sekolah sd/mi kelas 5. Yang telah dibagi sesuai dengan aktivitas ekonomi pada anggota koperasi. Sisa hasil usaha (shu) pada koperasi adalah pendapatan koperasi yang didapat.

Sesuai dengan aktivitas ekonomi anggota koperasi sehingga besaran shu .

Alokasi shu sesuai ad/art adalah 20% untuk dana cadangan, 60% untuk jasa anggota, 10% untuk dana pengurus, 5% dana pendidikan dan 5% dana . Bisa untuk latihan dan soal ulangan untuk guru. Jadi shu = jm + ja = rp300.000,00 + rp840.000,00 = rp1.140.000,00. Contoh soal 2 (un 2017). Soal:2) berikut ini yang bukan merupakan fungsi utama bank umum dalam kegiatan ekonomi adalah…… a: Organisasi nya, kali ini kita belajar tentang cara contoh soal shu dan pembahasannya. 25 contoh soal tentang usaha dan kegiatan ekonomi beserta jawabannya. 5 bahasan landasan koperasi beserta asas, tujuan, fungsi, prinsip Pilihlah jawaban yang tepat diantara a,b,c,d dan . Sisa hasil usaha (shu) pada koperasi adalah pendapatan koperasi yang didapat. Jenis usaha dan kegiatan ekonomi lengkap jawaban untuk pelajar sekolah sd/mi kelas 5. Kamu wajib tahu arti dan cara menghitungnya supaya gak ada kecurangan perhitungan shu. Yang telah dibagi sesuai dengan aktivitas ekonomi pada anggota koperasi.

Pilihlah jawaban yang tepat diantara a,b,c,d dan . Sesuai dengan aktivitas ekonomi anggota koperasi sehingga besaran shu . Jadi shu = jm + ja = rp300.000,00 + rp840.000,00 = rp1.140.000,00. Soal:2) berikut ini yang bukan merupakan fungsi utama bank umum dalam kegiatan ekonomi adalah…… a: Jenis usaha dan kegiatan ekonomi lengkap jawaban untuk pelajar sekolah sd/mi kelas 5.

Yang telah dibagi sesuai dengan aktivitas ekonomi pada anggota koperasi. Contoh Descriptive Text Bahasa Inggris Tentang Tempat
Contoh Descriptive Text Bahasa Inggris Tentang Tempat from 4.bp.blogspot.com
Bisa untuk latihan dan soal ulangan untuk guru. Jadi shu = jm + ja = rp300.000,00 + rp840.000,00 = rp1.140.000,00. Pilihlah jawaban yang tepat diantara a,b,c,d dan . 5 bahasan landasan koperasi beserta asas, tujuan, fungsi, prinsip Jenis usaha dan kegiatan ekonomi lengkap jawaban untuk pelajar sekolah sd/mi kelas 5. Kamu wajib tahu arti dan cara menghitungnya supaya gak ada kecurangan perhitungan shu. Alokasi shu sesuai ad/art adalah 20% untuk dana cadangan, 60% untuk jasa anggota, 10% untuk dana pengurus, 5% dana pendidikan dan 5% dana . Contoh soal 2 (un 2017).

Pilihlah jawaban yang tepat diantara a,b,c,d dan .

5 bahasan landasan koperasi beserta asas, tujuan, fungsi, prinsip Kamu wajib tahu arti dan cara menghitungnya supaya gak ada kecurangan perhitungan shu. Organisasi nya, kali ini kita belajar tentang cara contoh soal shu dan pembahasannya. Alokasi shu sesuai ad/art adalah 20% untuk dana cadangan, 60% untuk jasa anggota, 10% untuk dana pengurus, 5% dana pendidikan dan 5% dana . Yang telah dibagi sesuai dengan aktivitas ekonomi pada anggota koperasi. Jenis usaha dan kegiatan ekonomi lengkap jawaban untuk pelajar sekolah sd/mi kelas 5. Sesuai dengan aktivitas ekonomi anggota koperasi sehingga besaran shu . Sisa hasil usaha (shu) pada koperasi adalah pendapatan koperasi yang didapat. Pilihlah jawaban yang tepat diantara a,b,c,d dan . Contoh soal 2 (un 2017). Bisa untuk latihan dan soal ulangan untuk guru. Soal:2) berikut ini yang bukan merupakan fungsi utama bank umum dalam kegiatan ekonomi adalah…… a: Jadi shu = jm + ja = rp300.000,00 + rp840.000,00 = rp1.140.000,00.

5 Contoh Soal Ekonomi Tentang Shu Beserta Jawaban Nya : Soal Essay Dan Jawaban Tentang Prinsip Dan Praktik Ekonomi - 5 bahasan landasan koperasi beserta asas, tujuan, fungsi, prinsip. Alokasi shu sesuai ad/art adalah 20% untuk dana cadangan, 60% untuk jasa anggota, 10% untuk dana pengurus, 5% dana pendidikan dan 5% dana . Yang telah dibagi sesuai dengan aktivitas ekonomi pada anggota koperasi. Pilihlah jawaban yang tepat diantara a,b,c,d dan . Sesuai dengan aktivitas ekonomi anggota koperasi sehingga besaran shu . Soal:2) berikut ini yang bukan merupakan fungsi utama bank umum dalam kegiatan ekonomi adalah…… a:

Posting Komentar untuk "5 Contoh Soal Ekonomi Tentang Shu Beserta Jawaban Nya : Soal Essay Dan Jawaban Tentang Prinsip Dan Praktik Ekonomi - 5 bahasan landasan koperasi beserta asas, tujuan, fungsi, prinsip"